Cultural City, Kathmandu Metropolitan City

Online tax payment

Cultural City, Kathmandu Metropolitan City

Kathmandu Metropolitan City
Office of Municipal Executive, Bagmati Province
Labor Bank Form Free Health Camp Online Application Portal Shram Sansar Portal

News

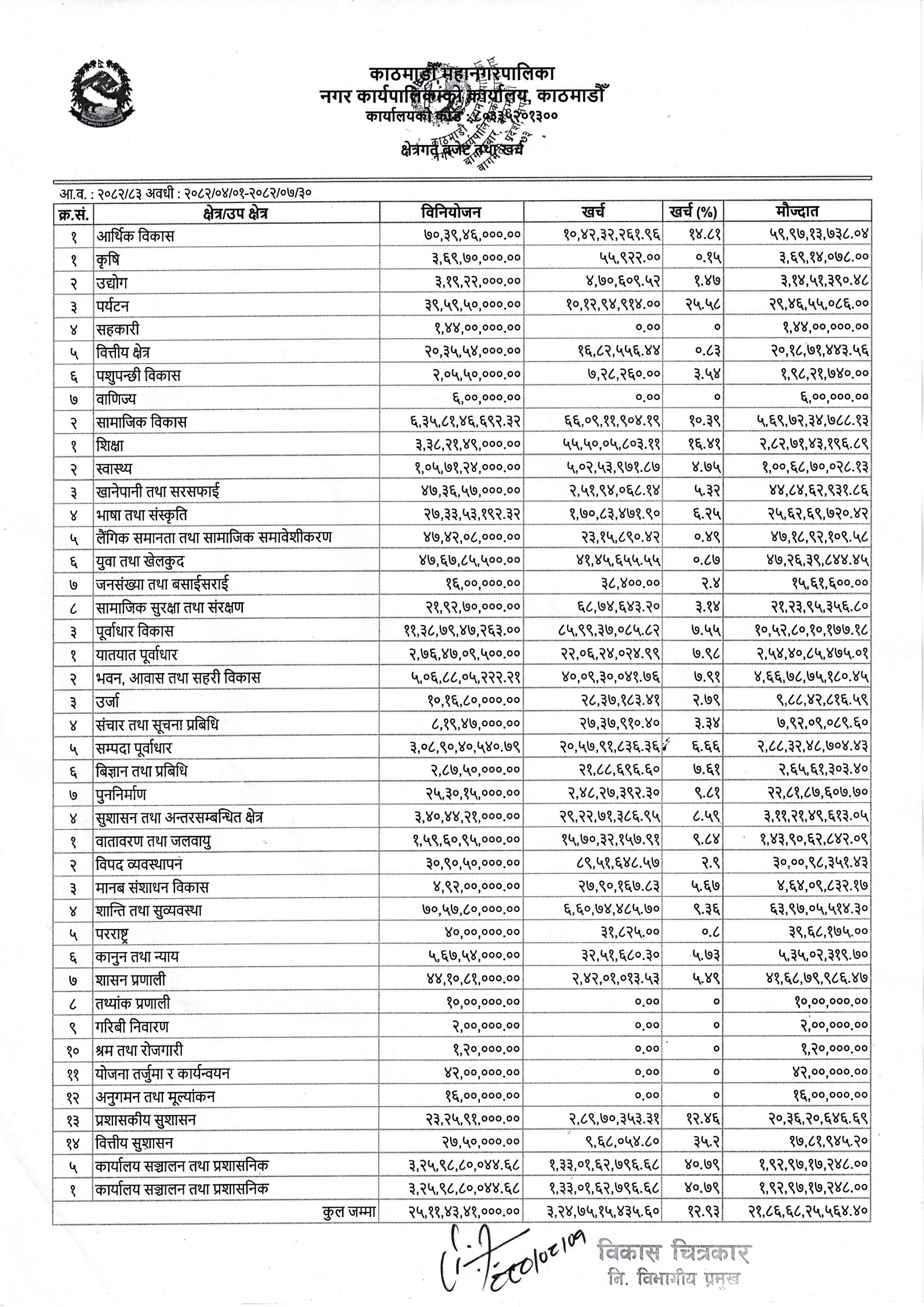
क्षेत्रगत बजेट तथा खर्च। (आ.व. २०८२/८३ अवधीः २०८२/०४/०१ – २०८२/०७/३०)

Supporting Documents